近期,中山大学物理学院、广东省磁电物性分析与器件重点实验室姚道新教授团队围绕双层镍氧化物 La₃Ni₂O₇ 薄膜体系的关键物理问题——超交换作用与电荷转移机制开展了系统研究。该工作基于多轨道强关联模型与大规模数值计算,定量揭示了常压薄膜结构与高压块体结构在磁关联与载流子分布上的本质差异,为理解常压镍基超导提供了明确的微观依据。
在本研究中,团队构建了包含 Ni-3d 与 O-2p 轨道的11带 d–p Hubbard 模型,并结合行列式量子蒙特卡洛(DQMC)与团簇动力学平均场理论(CDMFT)方法,对体系在正常态下的磁关联函数与载流子分布进行了高精度计算。研究发现,与高压块体结构相比,薄膜体系中的层间反铁磁超交换作用显著减弱(约 27%),而面内磁关联基本保持稳定。这种磁耦合强度的整体减弱为薄膜结构样品中更低的超导转变温度 Tc 提供了一个合理的微观解释。同时,作者利用微扰论定量评估了面间和面内的反铁磁超交换耦合常数J⊥和J‖,与RIXS实验结果基本相符。这一结果表明,层间磁耦合强度的减弱是导致薄膜结构与块体结构超导行为差异的重要微观来源之一。

图1注:图(a)为常压超导薄膜 La3Ni2O7 的11轨道模型示意图。图(b)为NiO2平面示意图,其中灰色和红色分别代表镍原子和氧原子。图(c)展示了由DQMC得到的 La3Ni2O7 薄膜和块体的自旋关联与温度的函数。图(d)和图(e)分别是DQMC和CDMFT得到的最近邻轨道间的自旋关联函数。
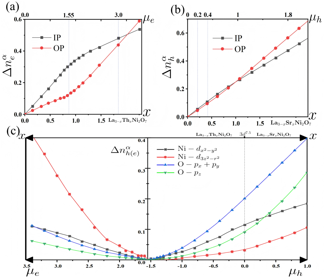
在电荷转移性质方面,基于 Zaanen-Sawatzky-Allen(ZSA)图像的分析,研究指出薄膜中由衬底诱导的双轴压应变有效降低了电荷转移能隙,从而增强了体系的电荷转移能力。在掺杂行为上,团队进一步揭示了显著的粒子–空穴不对称性:空穴掺杂在面内与面外轨道之间近似均匀分布,而电子掺杂则明显倾向于占据面内轨道。这一结果表明,薄膜结构的超导相图具有显著的掺杂类型依赖性。此外,轨道分辨结果显示,d3z2-r2轨道关联更强而dx2-y2更具巡游性,从而进一步支持层间d3z2-r2轨道耦合在决定配对机制中起主导作用。

图2注:图(a)和(b)是以 La3Ni2O7 薄膜初始状态为基准的载流子数的变化随化学势以及异价元素的名义掺杂水平x的变化,IP和OP分别表示低能整合下的面内与面外的原子轨道。图(c)为轨道分辨的电子、空穴占据数对于化学势的变化。
值得注意的是,本研究从磁关联与电荷转移两个角度出发,统一刻画了双层镍氧化物薄膜体系中的关键物理机制,明确指出层间 Ni-3d3z2-r2 轨道耦合在决定体系低能性质中的主导作用。
进一步地,研究表明通过调控层间耦合强度或施加外部应变,有望有效优化超交换作用,从而提升超导转变温度 Tc。同时,显著的粒子–空穴不对称性为实验上通过异价掺杂(如 Sr,Zr,Hf或Th 掺杂)调控载流子分布提供了重要理论依据,为后续实验设计与机理探索提供了明确方向。
该研究成果以“Superexchanges and Charge Transfer in La₃Ni₂O₇ Thin Films”为题发表在Chinese Physics Letters(DOI: 10.1088/0256-307X/43/3/030713)。中山大学物理学院、本实验室研究生钟宇勋为论文的第一作者,吴为副教授为第二作者,吴为副教授和姚道新教授为论文的通讯作者。理论研究工作依托物理学院公共科研平台和中子科学平台、广东省磁电物性分析与器件重点实验室、广东省磁电物性基础学科中心、光电材料与技术全国重点实验室、高等学术研究中心、粤港澳大湾区(广东)量子科学中心,得到了国家重点研发计划、国家自然科学基金以及广东省量子科学战略专项等项目的资助。